北京大学数学院登峰造极--院士全是白痴-学生个个智障
https://zhuanlan.zhihu.com/p/2028025950961443306
第一章:数学家的愚蠢十分可怕
对于善来说,愚蠢是比恶意更加危险的敌人。你可以抵抗恶意,你可以揭下它的面具,或者凭借力量来防止它。恶意总是包含着非常明显自身毁灭的种子(相对容易被识破)。
但是,数学家的愚蠢常常包装成为“高大上”,或者占领智慧制高点。
愚蠢并不等同于笨,笨是可以通过学习来改变的"笨鸟先飞,铁棒磨成针"。但是数学家愚蠢就不可能被改变。他们不是没有思想,而是一种“固化的思想”,宗教或者信仰,是满脑子的“标准答案”,口号和自己立场,或者固有利益关系限定的条条框框。
数学家不仅掌握知识和运用知识的能力不足,演绎推理能力极差,而且习惯于拒绝不同于他们认知的信息、拒绝超出他们以往所学范围的知识,固执己见而难以被说服,一旦遭遇这种情况,常常气急败坏,歇斯底里,就暴力言语相对。
神学家朋霍费尔说:愚蠢的人不可能真正善良,因为愚蠢的人是非对错不分,奉恶魔如父母,视良知如仇寇。抗拒与抵制艺术,科学,理性的真(他们的认识能力差)、善(他们忽视道德,法律,伦理,建设性,可持续性)、美(缺乏圣洁,贞操,无瑕,和谐,对称,比例与层次感的追求)。
数学家的愚蠢本身,就是一种不可救药的恶。作恶是一种能力,而这种能力,必须借助愚蠢的他人来实现。所以,蠢人往往一面行恶,一面还以为是在做善事(例如继续鼓吹陈景润吴文俊是多么伟大)。德国神学家朋霍费尔曾指出:对于善来说,愚蠢是比恶更加危险的敌人。恶可以抵抗,愚蠢则无法防卫(遗传并且感染力强),因为它并不服从理性(推理,演绎,质疑和验证)。而且常常(利用人性的弱点)让别有用心的愚蠢之人获利颇丰(例如张益唐丘成桐陈景润吴文俊,田刚-席南华-袁亚湘周向宇等一批蠢货),毫无运行规则可言,防不胜防。
什么是愚蠢?
愚蠢不是智力上的缺陷,而是一种思维上的习惯和遗传,非常顽梗与固执。是道德缺陷(具有强大的遗传性,例如数学院士的学生们)。因为很多智力正常甚至超常的人也表现出了愚蠢,如杨乐袁亚相周向宇田野等。而很多普通智力的人却未必表现得愚蠢(因为常被常识和生活经历教训和唤醒,许多业馀数学家有常识。一些数学教授家庭的纨绔子弟,土豪最愚蠢)。因此可以看到愚蠢与遗传!思维习惯,行为方式,文化传统,家庭教育有关。
他们喜欢历史重演,例如从1+c到1+2,不加分析地接受一切“高大上”的宣传和灌输;盲目崇拜名人“伟人”,自满的感觉而表现得知止甚少却好为人师的扬声器,传话筒;被忽悠了还要为忽悠者涂脂抹粉;习惯于宁可相信让他们产生虚假的未来,美好的前景,幸福这样梦(数学率先赶上),那样梦(芯片超越西方)的假话,骗局。数学家而拒绝接受他们的真相(脑容量小,弱智低能,原始野蛮,感性与冲动的客观事实和科学数据)。
数学家是愚蠢的人不喜欢思考(特别憎恨理性,逻辑思维,推理演绎和科学,是学历歧视和名人至上)最喜欢文字游戏,诗词歌赋,花言巧语文过饰非。也以为自己什么都对(每一个人都有自己的真理)。这种坚持无知习惯所带来的认知局限性,往往会导致愚蠢的人特别高傲,自豪感,尾巴翘到天上去了,作恶而且振振有词。所以,即使把身边的人都坑了一圈又一圈还一脸无辜懵圈,大家一起嗨,一起大跃进。
就没有一个学者能做到数学合格的,检查当今数学研究结果结果,数学家的逻辑是全球最低的即使获得大奖的丘成桐陈省身也是一样愚昧。强制性的改造当今数学家融入现代文明是不可能的,愚蠢根深蒂固,一旦他们获得权力与地位,必然导致他们的反抗,报复与他们彻底改变现有社会的欲望与动力。
一颗老鼠屎坏了一锅粥,就是这样简单的道理。人类就是希望用最简单方法把老鼠屎改变成为大米(超越上帝的方法,大自然方法)。老鼠屎与大米混合在一起,老鼠屎就变化成为大米了吗。可能吗!?
正确的把老鼠屎改变成为大米的方法是用老鼠屎做肥料(重新投胎,数学学术批判),大量种植水稻(文明人的繁殖,通过光合作用,改变基因,增加一点点脑容量与智商开始,减少肌肉与情感冲动,慢慢合成文明人类最基本需要的道德伦理文化基因作为基础),然后脱胎换骨成为下一代文明人类。这样虽然过程比较缓慢,百年树人,但是这是唯一把老鼠屎改变成为大米的正确途径。
影响人类文明形态与行为方式:最重要最重要的是基因遗传,其次才是宗教信仰,文化传统和制度建设。数学的宗教就是符合事实和逻辑。数学逻辑和语法的影响非常大,反映不同的知识的层次和阶段性:初级的数学家秩序是现代文明的发展是基础。但是,数学是基础于 文明人类的基因, 脑容量与智商,内置性基因开始,是最重要的基础性硬要件(基因)。没有这些(基因)基础,宗教与信仰,教育都无从谈起,也无法甚至于不起作用。 例如:非洲黑人,他们的最致命性硬伤就是严重缺乏智商和理解能力:脑容量小与智商低,弱智低能,缺乏内置性基因因子(极端愚蠢,超越蒙古人)。所以,他们对于现代文明的接受和理解程度非常低,没有动力。
这个世界是反的
弱智被认为是神童,例如陶哲轩;白痴被认为是天才,例如陈景润-张益唐-吴文俊-丘成桐。
当年,诺贝尔没有设立【数学奖】,不知是有先天预见之明还是偶然遗漏。现在看来真是高明。
第二章,数学是所有的科学项目中最不可靠的学科
两千年以来不断发生危机,这是因为:
第一, 因为数学没有物质世界检验,不像其他学科可以通过实验来验证,例如物理学的理论对不对,我们通过实验结果就知道了。所以数学只能通过批判完成证明。自己的认识总是片面的,必须由其他人批判才能看到自己不足和错误。
第二, 因为数学目前没有制定推理和证明的规则,对一个问题的论证,三言两语还勉强应付,几十页上百页的推理和证明,没有人不出现错误。
第三,由于数学家普遍不懂逻辑学,不懂语法与修辞,几乎所有的长篇数学证明论文都是错误的。几乎所有的数学奖励都是错误的。
第四,数学家从来不知反省,没有批判学支撑,没有时时检查剔除错误的机制。长期积累错误,造成急重难返。
第五,数学家普遍精神疾患和智力低下,完全缺乏正常人的理性。
第六,中国数学家世界观反动的,他们居然认为“某某理论是放之四海而皆准的永恒真理”。“真理是相对于科学而言,而科学本质上是否定的,科学在不断自我否定过程中逐步接近真理”
第七,最重要的:
数学思维必须符合逻辑,演绎证明某事肯定是,归纳说明某事在实际上是有效的,溯因仅仅表明
某事可能是,所以溯因是推理中较弱的一种形式。溯因整理成为一个命题叫做猜想(证明猜想是告诉你结果,让你按照规则找出原因-过程的必然性,把道理讲清楚)。
我们证明一个数学命题就是一种整体上弱势溯因推理,每一个局部需要强势演绎推理,这是难以克服的困难——超出了人类解决问题的能力!
数学家大脑里如果还残存一丝智商,就不会宣称证明了黎曼猜想-费马大定理。
况且,一个事实可能有多种原因,我们要找到那个必然的原因,并且用演绎推理证明就是它。
好比逆水行舟,又好比盲人摸象。数学命题的证明是寻找并验证因果关系的过程,必须通过正确的演绎推理(如三段论AAA格式)确保其有效性。错误的证明格式(如IOA)或归纳法无法确立真理,因为数学真理需要必然的因果关系,而非或然性推理。
数学命题为什么需要证明?
从来没有人正式谈过这个问题。
科学研究就是为了寻找事物因果关系,一个结论得出以后需要别人重复,重复的目的就是验证因果关系。数学命题证明就是找到因果关系并且验证这种关系。
科学结论可靠的特征就是可重复性(例如物理学-化学的实验等),之所以可以重复,就是因为确定它们的因果关系。
不是所有的事物需要通过思想归纳推理和逻辑证明。笑话:“湖南丰收了,江西丰收了,....。所以太阳是存在的”。太阳存在不需要粮食丰收证明,因为任何一个人用眼睛就可以看见。
只是那些需要心灵领悟的事实和事物需要逻辑证明(例如“素数”)。
数学命题证明是溯因推理,溯因推理是从结果追溯原因的推理,是采纳假说的推理。是确定因果关系的检验。溯因整理成为一个命题叫做猜想(证明一个猜想是告诉你结果,让你按照规则找出原因-过程的必然性,把道理讲清楚)。
证明需要演绎推理中正确的三段论格式
数学定理都是全称判断,全称肯定判断的命题证明必须是三段论AAA格式。
必须找到一个概括了所有的元素属性的定理或者公式作为大前提,如果找不到,就无法通过演绎证明。
如果找不到,数学家们就胡来了。
例如一,安德鲁怀尔斯证明费马大定理:
1,假定有一个否定费马大定理的反例解
(特称判断I)。
2,这个反例不存在(否定判断O)。
3,于是证明全称的费马大定理成立(全称肯定判断A)。
以上是错误格式IOA。
根据三段论规则,前提中有否定判断,结论不能是肯定的。前提中有特称判断,结论不能是全称的。而全称肯定判断的结论只能来自第一格AAA。
IOA格式这种证明不能确定因果关系,因为大前提是假设的,又被小前提证明是不存在的,这种虚构并且不存在的前提所以是无效的(前提必须是真实的,推理才能是正确的)。
例如二,迈克尔阿蒂亚证明黎曼猜想也是这种错误。
例如三,张益唐证明黎曼猜想问题“朗道-西格尔零点”也是这种错误。
例如四,王虹-扎尔证明挂谷猜想也是这种错误。
上面谈到为什么必须是AAA格式,而不能是IOA格式,因为后者改变了证明条件,条件一旦改变,就不一定是真理了。
例如,最速降问题,小铁球在曲线下降速度比直线快,空气阻力忽略不计。如果是在水中比赛,或者在饱和盐水中比赛;如果不是铁球而是塑料球,距离远的曲线就因为阻力更大而比近距离的直线慢。(两个相同的塑料球在盐水里比赛,速度与距离会发生改变)。
第三章,数学证明要求非常严格
一切必须从正确定义出发,每一个数学符号必须有明确的定义,你这个符号如果是结论,
就必须给出证明,例如一些特殊数;
每一个概念的定义都要符合规则,定义不清的词汇是不能证明的,一个命题要求每一个
概念清晰。(例如所谓蒋函数,殆素数);
每一个方程的设计都要合乎逻辑;
每一个结论都要有它的原因;
每一个定理都要有它的证明;
每一个依赖的论据都要是已知的定理或者公理;
每一步推理都要是必然的结果,这一步推理如果有几种结果,就必须排除其他的结果产生
的异意(看看陈景润的‘1+2“和丘成桐的“至多只有一个解”)。
每一个公式的推出必须有明确的解释,不能模棱两可(看看张益唐的公式模棱两可多么滑稽)。
结论的正确性建立在原因的正确性和论据的正确性以及推理的正确性之上。
做数学的人要纯朴,心无杂念,才能专心致志地研究,如果充满邪念,就会不择手段。
数学从来没有大清仓大甩卖,它只是遇上了大劫难。数学有风险,入门要谨慎。
第四章,数学家的愚蠢与疯狂
一门学科几乎全军覆灭的下场,导致全部推到重来,说明人类普遍缺乏理性和必要的反省。
数学家个性中狂妄自大,自以为是,死不认错,拒绝接受逻辑学和语言学的指导,其实就
是人类的悲哀。
反映出人性中最愚蠢-最荒唐-最狼狈的宿命。
人类不可避免的走向灭亡的时间将会大大提前。
例如,我们已经知道:
1,数学界不会使用正确的推理形式,演绎推理也就是三段论有256种形式,而正确的只有19种。例如安德鲁怀尔斯(在企图证明费马大定理时)和迈克尔阿迪亚(企图证明黎曼猜想时)都是使用错误的IOA形式。
2,数学界不知道概念之间的逻辑关系哪一些是无法传递的,例如数学界在证明费马大定理时不知道费马大定理与古山志村猜想之间是一种对称关系-一种非传递关系(弗莱方程如果可以模形式化,费马大定理与古山志村猜想之间是交叉关系;如果不能模形式化,费马大定理与古山志村猜想是反对关系。交叉关系与反对关系都是非传递关系)。一方的对与错都是不能传递到另外一方。
3,数学界不知道二阶逻辑问题是无法证明的,例如柯召(企图证明卡塔兰猜想)和伊万尼克(企图证明
素数问题)以及安德鲁费马大定理和莱文森黎曼猜想和华罗庚证明华林猜想都是二阶逻辑问题(变化率的变化率)。
4,数学界不知道数学定理必须是全称判断(一切A是B),例如陈景润把特称判断(有些A是B)作为证明结论。例如张益唐的最新论文表明,在特定范围内,朗道-西格尔零点不存在。在这一情况下,朗道-西格尔零点猜想正确或成立。
”特定范围内”是一个特称判断,是一个数学事实,没有任何意义,因为,数学不承认特定判断的“数学事实”。数学事实是数学理论中最低形式。
5,数学界不知道数学命题主项必须是普遍概念和单独概念,不能是集合概念(等价于二阶逻辑问题,例如费马大定理和黎曼猜想和货郎担问题等)。
6,数学界不知道肯定判断的谓项不周延,例如陶哲轩-陈景润。
7,数学界不知道数学定理的主项必须周延,例如张益唐和陶哲轩。
8,数学界不知道在数学证明中的科学概念必须经过正确的定义(种加属差定义)才能使用。例如陈景润陶哲轩使用错误概念殆素数。
9,数学界不知道抽屉原理的抽屉必须是普遍概念,不能是集合概念例如张益唐。
10,数学界不知道数学证明不能违反公理,例如,安德鲁怀尔斯对费马大定理的证明违反了“三段论公理”。
11,数学结论不能是或然推理,例如丘成桐的“至多只有一个解”。
12,数学界不知道证明不能用假设否定假设,例如丘成桐证明正质量猜想。
13,数学界不知道一个全称命题的主项与谓项必须是全异关系,不能是种属关系,例如庞加莱猜想。
14,其他。
例如,吴文俊机器证明荒唐可笑。
(1)所有的数学定理全部都是全称判断,即“一切A是B”。
(2),所有的全称判断的主项都是“普遍概念”或者“单独概念”。
(3),普遍概念的定义就是依据属性。
(4),机器不能判定属性,例如一个人是男是女要通过生物化学鉴定x和y染色体,机器无法判定属性。
第五章,数学家不守规矩的原因
数学规则就是一条底线,红线,是数学家的高压线,是不能触碰的,数学家不能自绝于世界文明的主流,关起门来胡搞。滚动式地造假造谣迎合社会口味,等于在科学工作上自杀,学术权力不能毫无节制地滥用,要时时听一些不同意见。
是数学规则给了数学以安全感!
如果我们破坏规则,就是毁灭数学和数学赖以生存的土壤。
科学必须保持自我忠诚。
数学家是世界上最有自负的群体,常常愚蠢到自毁家园的地步,被称为“知识性脑残”。
几百万条所谓“数学定理”将会报废,必须重新建立。菲尔兹奖和一切数学奖都将成为人类愚蠢的特征和标志纪录在人们的大脑中。
科学是在逐一消除错误的过程中建立起来。而伪科学往往是刀枪不入,无法证伪,例如陈景润的陈述。科学则是强烈认识到人的不完善性和不可靠性,
假如我们只讲科学成果,不讲批判性方法,怎么能够指望普通人将科学与伪科学区分开来?
第六章,对数学家的错误进行生物学和逻辑学分析
数学命题证明,是数学家自由意志发挥的过程
是一个自我决定,即数学家的意识按照语言规则和逻辑规则将数学概念和判断联系起来,与逻辑语言形成镜像对称。语言规则和逻辑规则就是上帝的意识和意志。
什么是镜像对称,就是你照镜子时,镜子里面的你与自然的你一模一样,只是方向不同,你朝南,镜子里的你朝北,你的右耳朵在镜子里面是左耳朵。其它都是一模一样。如果你和镜子里面的你不一样,就是镜像破缺。
意识是人类经过漫长的岁月进化而成的,意识是所有的信号打包一起的感受总和。意识的属性就是是行为与记忆。数学家按照数学概念联系和逻辑规则加语言规则在保持理性的状态下推理。
大脑左半球负责语言规则,右半球负责逻辑,即灵魂-意识不能偏激。在证明推理过程还会出现实验-试验,例如画出图像检验函数是否合理。大脑新皮质负责处理高级情感和认知,如果大脑不会处理一些信号就会出现盲视。
数学家在推理时,就是用自己的意识寻找上帝的意识去对应,看是否能够一一对应·。不仅仅用自己的意识进行工作,还要知道或者意识到别人有意识,会检验自己的推理。例如,丘成桐证明卡拉比猜想得出或然判断结论,还有证明正质量猜想时用假设否定假设错误,就是一意孤行,单方面认识自己的判断,出现思维混乱以后,陈省身也不能认识。看到鸟有翅膀会飞,就认为给狗安装翅膀也会飞。
我们看到,数学家的生物进化没有完成,例如陶哲轩-陈景润-吴文俊-丘成桐等,数学家的神经中枢系统没有完善,无法接收上帝的意识信号。他们不知道别人会意识到他们的工作不可靠。看到老鼠不怕猫,是老鼠没有怕猫的意识还是他们认为猫没有意识到老鼠可以吃。
在没有制定推理规则的情况下,数学家只是一个推理的傀儡,不能保证思维的合理性,数学家推理时做出决定是随机的,因为没有制定推理规则。
就像人工智能一样没有意识,这是制造时决定的。
数学家都是“柯塔德综合征”,坚信自己的证明,这是因为大脑额叶和顶叶受损,活动能力弱,硬件受损,丧失了个性与记忆,影响自我的完整性。数学家的证明工作,即数学家自我意识不是指挥中心,只是进行概念联系组装并且解释是否合理。
论据,也称根据,数学家成为引理,是在作为论证的命题那个用来确定论题是否真实、并且自身的真实性已经得到断定的或者至少为论证所涉及各方共同接受的命题。
论证之所以必要,就在于论题真假不明显或者尚未得到确定。
于是就需要援引论据来判定真假,因此,论据的可信度必须高于论题。
如果论据的可信度不高,原有论据对论题的支持关系也就不成立。
如果作为引理的论据是一种假设,最后没有被证明,就是无效论据。
论证与推理的关系,论证总是借助推理进行,论据相当于推理的前提,论题是推理的结论。论证方式反映了论据与论题的关系。任何论证过程都是运用推理的过程,没有推理就无法构成论证。
但是,并非任何推理都是论证。论证总是现有论题,围绕论题寻找论据。这是从结论到前提的过程;而推理是从前提向结论的过度。
论证比推理复杂,构成一个复杂的论证由多个推理完成,是作为一种推理有目的的使用,即证实或者证伪,论证必定要断定论据的真实性和可接受性,否则论证的目的就不能实现。
论证链,各个论据与论题构成整个支持关系必须明确,基本论据是论证中最先引用的无需其他理由支持的论据,一般都是公理或者正确的定理。而数学家却用假设否定假设,用假设证明假设。例如丘成桐和王虹-扎尔。他们把的意识(假设)当成上帝的意识。
主论据与子论据不能互相依赖
证明过程是线性结构;每一个论据必须环环相扣。
论证过程是发散结构,必须进行收敛证实。
例如陈景润的一个证明工作,用了24条发散的引理去证明,却没有通过收敛结尾。
间接证明,包括反证法和选言证明法。
反证法是通过确定与论题相矛盾的命题的虚假来证实论题的间接论证。
步骤是:首先假定反论题为真,并从中引出谬误的推断,然后根据归谬原则,即根据假言推理的否定式,从否定谬误的推断导出对反论题真实性的否定。即断定反论题的虚假。最后根据排中律,从反论题的虚假推断出论题的真实性。
所谓谬误的推断,包括3种情况,1,推断与已知的真理相悖。2,推断本身逻辑矛盾。3,推断与所依据的假定矛盾。如果是1,既可以将1作为大前提。
选言证否法,是列举出欲证明论题的可能存在的其他论题,根据事实推理一 一将其排除和否定。
归纳假设证明和先验估计命题是数学家常犯的错误:
(1)没有进入因果关系;
(2)没有进入构成关系;
(3)无法被感知。
(4)估计和假设进入证据以后,如果从区分两类否定真理的角度来检视这一问题:
第一类涉及虚构或者主观创造的一些对象;
第二类涉及实际存在的对象。
而估计和假设的虚构的对象并不具有事务的全部属性。
(5)假设最后必须被证明才能进入证据链。
(6),假设理由的虚假性胡乱修改前提条件,得出错误结论。
(7),推理的无关性胡编乱造的结论不能算定理。
(8),隐含的假设性这些结论都有一个共同的缺陷,假设存在他们想要的内容,都是无关地联系他们预想的东西,例如张益唐和陈景润。
(9),论证的单一性这些论证都是违反演绎推理的基本规则,不能反推回去,正确的定理证明,百分之百可以倒推回去。
全世界每一年产生20万条定理,几乎全部都是错误的,因为,真理的产生成本非常高,需要大量的错误作为学费,需要数学家具备强烈的洞察力和对事物深刻地了解,并且具备逻辑学和语言学的熟练操作,准确的利用演绎推理的正确格式。这个过程必须经过漫长时间的训练才能完成,40岁以下的数学家做出重要的证明几乎不可能,所以,菲尔兹奖就是一个笑话。
第七章,或然判断不能用于数学证明
我们想想,命题是怎么产生的?需要怎么样去证明?
演绎证明某事肯定是这样,演绎是从一般到特殊,只有演绎推理形式是必然有效的,因为大范畴的存在,是小范畴存在的充分条件,所以,演绎推理是必然的因果关系推理。
归纳说明某事在实际上是有效的,归纳是从一些特殊到一般。
溯因推理是说某事可能是这样。溯因推理是推理形式最弱的一种。
溯因推理借助不完全归纳,预测成为一个命题叫做猜想(证明一个猜想是告诉你结果,让你按照规则找出原因-过程的必然性,把道理讲清楚)。溯因推理(回溯推理)
回溯推理的定义及结构回溯推理又称“逆推理”、“溯因推理”,是一种从结果出发推测该结果发生的原因或条件的非演绎推理。
回溯推理的形式是:p,如果 q 则 p,所以 q 。
从演绎逻辑的角度看,这种推理形式是无效的,不具有逻辑必然性。
因为它与假言推理的肯定后件式具有逻辑同构性。但回溯推理无论在日常生活中还是在科学研究中应用都非常广泛。
归纳逻辑在承认回溯推理的结论是可错的前提下,肯定回溯推理有其客观根据和应用价值。
回溯推理的根据就在于客观现象之间的因果联系或条件联系。回溯推理的结论是可错的,原因在于因果联系及条件
联系的复杂性。拥有与已知现象(结果)的因果联系的知识越多,相关结论的检验越严格,回溯推理结论的可靠程
度就越高。
运用回溯推理须注意:
(1)猜测的结论和待解释的现象之间要有逻辑相关性;
(2)猜测的结论应是可经检验的。
回溯推理的应用回溯推理是一种重要的推理形式,是颇具创造性的思维方法,是科学发现的重要工具。
归纳只能预测,不能证明。
我们证明一个数学命题就是一种整体上弱势溯因加归纳推理,每一个局部需要强势演绎推理。
为什么不能用归纳法证明?
因为设立命题时是使用少量样本归纳出来的,再用少量样本证明,就不可靠了。
用哥德巴赫猜想举例:
原始信息(6=3+3,8=3+5,..。就是逐一归纳有限的样本,具有某种性质(两个素数之和),于是归纳推出“哥德巴赫猜想”推导出(预测)有无穷多个的数量样本的偶数也具有某种性质)。
在有限数量基础上归纳产生的猜想,通过演绎证明是不对等的。
归纳是在一个有穷大的样本中逐一列举, 只要样本空间没有被穷尽, 使用的都是简单枚举归纳推理。
而命题是对于无穷大的样本, 我们根本不可能穷尽该样本空间, (例如哥德巴赫猜想中的偶数就有无穷多个)因此只能使用简单枚举归纳推理,简单枚举归纳推理是一种扩大了前提条件的推理, 它的结论是不可靠的。
使用归纳推理提出假说, 其假说是非常脆弱的, 因为对它的逐一证实是绝对不可能的, 除非你穷尽样本空间, 而一旦这样, 你使用的已经不是归纳推理了。
它的脆弱性体是:只要一个反例, 就可以推翻这个假说命题。
无穷多个样本的数学定理必须是全称判断,数学家必须完成一个:由归纳出来的有限个事实样本去证实无穷多个元素的--不可能完全证实的命题进行演绎方法证明,并且结论是全称肯定判断的正确三段论只能是第一格的AAA式。这是绝大多数数学命题证明无法做到的。
溯因加归纳推理是从结果追溯原因的推理,溯因推理是采纳预测的推理.-—— 一个留待观察的假说,归纳产生的全称命题。它仅以疑问的或猜测的方式断定其结论是真的。
归纳推理是基于有限观察的,从有限样本推出一般结论的推理, 它的前提是关于个别事物具有某种性质的论断, 结论却试图得出全体事物皆具有此性质的论断,中间有一个巨大的逻辑空挡。
不完全归纳出来的全称判断形成的待证命题,怎么可能通过演绎推理回到初始信息?怎么越过这个巨大的逻辑空挡,让初始信息变成一个定理?
归纳产生的样本,推导出命题,归纳的样本没有进入命题因果关系;没有进入证据链,前提不是结论(即全称判断的命题)的必然原因,所以只能是猜测。
因为少量归纳产生的元素具有某种属性,夸大和膨胀了命题属性(有无穷多个元素),证明命题时候就要填补这个夸大的空缺。数学家拿什么填补这个空缺?只有从n到n+1建立了明确的递推关系,才能弥补空缺。
估计和假设
证明中使用“估计”是一个预期理由,暗含“假定存在”的非逻辑前提。不能作为一个正确的数学证明。
这个错误就是他们在数学命题证明中使用错误的方式——用或然判断的推理:估计-多阶估计;假设-多重假设;归纳法;类比法证明。
前提是或然判断,结论必将是或然判断:
例如,丘成桐证明卡拉比猜想结论是“至多一个解”;
陈景润证明1+2的结论是“或者n=p'+p”或者;n=p1+p2p3;
陶哲轩的“任意长”的素数算术数列。
严重的错误是这样的原理:
首先,所有的数学定理都是明确的全称判断,明确的意思就是必然判断,而不能是模棱两可的或然判断。
其次,要想结论是必然判断,就必须每一步都是必然判断。必然判断结论只能是演绎推理。
如果前提是或然判断,那么结论必然是或然判断。
估计,多重估计;假设,多重假设都是或然判断。
因为数学是研究数量-空间结构-数量和空间结构的变化,我们面对的情况是复杂的和变化的,常常需要从一个时空到另外一个时空,从一个命题推出另外一个命题,从一个判断中得到另外一个判断。
我们从已知命题推断出未知命题的行为叫推理,已知命题叫前提,未知命题叫结论。我们证明一个结论的系统化行为,叫做论证。
逻辑就是确保这些推理和论证能够有效的规则。逻辑学就是研究这些有效推论和论证规则与标准的学科。
我们借助从老命题引向新的命题-从已知引向未知的。
只有演绎推理形式是必然有效的,因为大范畴的存在,是小范畴存在的充分条件,所以,演绎推理是必然的因果关系推理。
而归纳和类比推理不是,逻辑上也不会用有效性与否来评价这两类推理,只会说归纳强度和类比的可接受性。所以也叫或然性推理。
数学定理不能是或然判断。逻辑的本质就是必然得出。演绎推理的前提不能是或然判断的“估计”。
所以,逻辑的合法性来自于形式的合理性,而形式的合理性来自于实践的有效性。溯因达到严格的推理-论证才能叫做定理。
在这里必须是没有任何模糊性,而估计和假设就是模糊证明,论证中的一切推理应该井井有条,一切细节环环相扣。结论的正确性建立在前提的正确性和真实性基础上。
归纳假设证明和先验估计等产生论据,是数学家常犯的错误

中国正在全方位引进白痴,丘成桐到清华大学,扎尔到南开大学,张益唐到中山大学。华为引进的数学白痴:
清华大学引进的白痴:
中国科学院引进的数学白痴:
香港大学引进越南数学白痴
第八章,北京大学的数学白痴院士:
1,刘若川



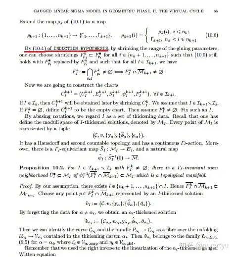
人民日报吹嘘刘若川的论文也是错误的
突破性进展!北大教授刘若川最新成果 【Logarithmic Riemann-Hilbert correspondences for rigid varieties】
证明。这源于映射(2.3.10)(根据引理2.3.11是一个同构)
证明。让我们....。
假设c0 ∈ N且η ?1(c0)=.....。那么,根据(3.4.1)我们需要以下引理,该引理通过r的归纳法从....。

2,张恭庆的荒唐证明
下面这一页说:定理1.1,设....,又设.....存在适合,如果还有适合.....。
(批判:既然是定理,不能存在预期理由的多重假设)

下面一页:引理3.1,假设...成立,又设....,其中K,G满足假设(3个条件)则.....。最后有“由归纳递推得”
(批判:引理作为论据,必须是明确无误的。而张恭庆假设成立,再设满足3个假设条件,最后还是由归纳所得,足够荒唐。)

下面一页:引理4.2设....满足.....。又设......。此外设满足ps条件。定理4.1,在引理4.2的假设下,又设J在....。
(批判:引理作为一种论据,是在多重假设下的观点,不能成为论据)

3,文兰-夏志宏
用归纳法证明,设,设,我们可以假设,我们还可以假设,....。

4,姜伯驹荒唐的证明
5主定理证明
根据命题3.5和命题4.3,.....,从而最终证明定理1.5。
命题5.1,
设β∈Bn为一个....。
假设β在Bn+m中的两个扩张β‘、β’‘是共轭的。若β’由....。
证明:假设fβ = f β.....。
且假设LΓβ,m....。
假设.....。同时满足ind。
设ni为使得.....。
通过归纳法可知,ind.....。因此这两个指标完全相同。

5,田刚也是继承丘成桐的错误思想,用“估计”代替证明,例如,2012年10月,田刚宣布解决了K-稳定Fano流形上K?hler-Einstein度量的存在性问题并给出了证明概要,关键技术途径是在锥K?hler-Einstein空间情形建立田刚早先猜测的部分连续模估计,而建立这一关键估计的主要方法是推广Cheeger-Colding-Tian有关K?hler-Einstein流形的紧化理论。朱熹平曹怀东更加荒唐,300多页论文都是“估计”,什么也不懂,垃圾水平,朱熹平跟随一个智障老师叫丁夏娃;曹怀东是跟丘成桐。






田刚说【根据归纳假设】

田刚说【我们认为这些论文中归纳过程的关键假设需要进一步澄清才能成立。】

田刚说【我们希望将这些图表收缩,使其足迹满足归纳假设中关于k + 1的条件】。

6,张寿武
张寿武是王元的学生,一个聪明的学生被一个智障老师糟蹋了。在数学命题证明中依赖“估计”,估计当然也是一种判断,是不明确的判断,不是必然结论的判断,不能用于证明,不能成为大前提和小前提。
下页:
“根据小点密度估计了变量的....得到了所需要的估计,通过对Hilbert函数前导项的估计和一些参数,我们将简化证明”。
张寿武在数学命题证明中依赖“估计”,估计当然也是一种判断,是不明确的判断,不是必然结论的判断,不能用于证明,不能成为大前提和小前提。

下页:
“根据小点密度估计了变量的....得到了所需要的估计,通过对Hilbert函数前导项的估计和一些参数,我们将简化证明”。
这是数学命题证明吗?纯属胡闹。

下页:第一步使用Hormander的L
估计证明紧致复流形;第一个结果是根据小点密度估计算术变量...。
“估计证明”就是模糊概念,就是或然判断。其数值“估计算术变量”就是一种不精确的预判。张寿武蠢货!

证明中“假设条件得到验证,以及对解析扭转的估计,....。定理的断言基于这个估计,..”.。
整个证明结构十分混乱,句子连接在逻辑上断裂,不知道作者想什么,是否让断言成为大前提?

下页:“证明,根据公式,有以下估计......”。
由估计得到的结论,不能成为前提。

张寿武归纳证明
张寿武归纳证明


7,张继平用归纳法证明数学命题


8,丁伟岳-廖山涛就不一一列举了。
第九章,北京大学智障学生
1,袁新意
2,唐云清
3,王虹
4,关启安-朱朗峰周向宇和关启安合作的论文:
多重假设:

假设下的所谓定理:

关启安-周向宇使用错误的归纳法证明:


朱朗峰与周向宇荒唐定理证明,定理居然有六重假设。

定理1.1(主定理)。
设R∈ Rα0 ,α1 。
设(X,ω )....。
设Y为由Y=V(I(ψ))定义的X解析子簇,
并假设 ψ 沿Y具有对数正则奇点。
设L(或E)为X上的全纯线丛(或全纯向量丛),配备奇异埃尔米特度量h=hL(或光滑埃尔米特度量h=hE),其局部表示为e- φL 形式,其中I为局部全纯框架下的拟多调和函数 φL 。
假设满足以下条件:.....。
5,
6,
7,朱小华

8,韦东奕归纳法证明

韦东奕
韦东奕证明...估计...假设....估计。

9,张益唐
10,闵嗣鹤恶搞陈景润,让整个数学丢脸
编辑













